Monday, December 25, 2023

AFFH Data Viewer 2.0 companion for Sonoma Valley and City of Sonoma DUC and DAC Studies

 

Fred Allebach

Member Sonoma Valley Housing Group

Member Santa Rosa/ SoCo NAACP

12/24/23

 

AFFH Data Viewer 2.0 companion for SV DUC and DAC studies

Interpretation of AFFH Data Viewer 2.0 screenshots

 

General observations

AFFH Data Viewer 2.0 data is not all up to date but it does corroborate the patterns seen in this packet of SV and City BG studies.

 

It’s clear that Tract-level analysis collapses intra-Tract differences and makes a whole Tract appear uniform when it is not. For example, City of Sonoma Tract 1502.04 has serious differences between the central east and central west sides, and the poverty of the central west side tips the whole Tract to appear as disadvantaged when the central east side clearly is not disadvantaged. Springs-area Tract 1503.05 constantly shows up as disadvantaged but BG1, the most northerly BG is primarily ag land use with community separators and scenic vistas.

 

Map interpretation

 

Housing and transportation cost burden map, BG level, shows a 30-75% cost burden range in lower SV. This shows the effects of low hosing stock and the high cost of character protection for lower income residents.

 

Flood hazard map, SV land use puts MHP zones in the worst, lowest-lying, highest flood hazard locations along Sonoma Creek and other creeks. City and County General Plan Land Use Elements could change the channel and put MHP overlays into current single family, low density zoned areas so as to not saddle the poorest residents with the highest flood risk. Poor MHP location relates to past redlining land use practices.

 

Low and Moderate income map, BG level, shows Springs lower income cohorts/ communities of interest contiguous to City boundary and City central west side.

 

Median Household Income (MHI) map, Tract level, Tracts 1503.05 and 1503.04, Boyes/ Fetter’s and El Verano show up as Low MHI; Tract level data does not show City MHPs, central west side, and Temelec as Low MHI even though they are. Demographers say BGs have a higher margin of error, but missing DUC and DAC BGs seems to me like a serious error as well. This is where educated staff and decision makers have to exercise judgement and see the forest from the trees. Seeing the actual is good science; intentionally ignoring the actual is more at political, tribal, and ideological.

 

Overcrowding maps, Tract; Tract 1503.05 shows the most SV overcrowding and most severe overcrowding even as 1503.05 has the highest preponderance of multifamily homes in SV. More dense infill in this area is not proper AFFH land use; future SV density and upzoning needs to go into areas where land use has sequestered a lot of space for single family homes.

 

Population by race map, Tract; Tract 1503.05 is primarily Latino; percent white in SV tracks with TCAC Highest Opportunity Area maps; the SoCo 1st District is @ 70% white/ 30% Latino. In the 1st District older white voters out-register and outvote Latinos by a margin of 80% to 10%, this is the result of being disadvantaged, and this is why the SV immigrant Latino community of interest needs special policy consideration and white advocates.  It’s not reasonable to expect the lower income Latino COI to perform at the same level of public involvement as whites. General Plan and other outreach efforts can’t assume a representative sample of public opinion when systemic disadvantages hamstring 30% of the population, allowances for structural deficits need to be made. Land use and housing policy in SV needs to handicap for equity and justice.

 

Poverty map, Tract; Tract 1503.05 shows up again and again and again; the City central west side BG of Tract 1502.04 makes the whole Tract appear as poverty when clearly the central east side is not in poverty. Tract-level analysis like this may have driven the City Housing Element to make findings that underplayed the level of City segregation and falsely informed where the RHNA inventory should go. 

 

Race map, Block Group; this map shows the Springs Latino community of interest blending into the City’s west side; this is evidence that SV unincorporated DUCs are contagious with City DACs.

 

RCAA map, Tract; Racially Concentrated Areas of Affluence in SoCo 1st District: Kenwood, Glen Ellen, Eldridge, Bennet Valley. Glen Ellen/ Sonoma Mtn. Environmentalist whites in these areas worked to put community separators in the most northerly BG of Tract 1503.05, thereby hemming in the majority Springs Latino DUC/ Tract with a long-term land use poison pill, with no upzoning allowed until 2036. Politically activated affluent whites saved the best most open space locations for themselves while sequestering the Springs Latino DUC to the most undesirable, least parks, least trees, dense locations in SV.

 

Rental overpay map, Tract; all lower SV is cost burdened bc of low density protectionism and NIMBY land use policy, not enough housing stock; the more land use is restricted, the higher the housing costs.  

 

Segregation map, Tract; Tract 1503.05 has high people-of-color segregation; at the lower SV level the artificial division between the City and Springs municipalities has effectively segregated POC to the other side of the tracks while Sonoma whites play fantasy island; this underlines the call for Springs annexation to address systemic SV segregation and unequal access to services, resources, and representation. SV segregation is a past wrong that needs to be righted, like South Africa and other similar locales, even as current whites are not the ones who created this disadvantageous land use regime. As Ta-Nahisi Coates said, suburban whites “are living off the interest of Jim Crow.”

 

TCAC (Tax Credit Allocation Committee) economic score map, Tract; the shape of Tract 1503.05 shows up over and over again as a disadvantaged area along many metrics, despite that the most northerly BG is full of community separators and scenic vistas and is mostly ag land use. A study of SV BG MHI shows that the Latino DUC is not limited to Tract 1503.05, and is largely absent from the most northerly ag-centered BG of Tract 1503.05. Staff and decision makers need to see the actual in SV, not a view where Tract-level analysis masks real on-the-ground differences.

 

Vouchers map, Tract; 1503.05 shows up again with HUD rental vouchers, Latino and white working class COI populations blend into the City’s northwest side.

 

Acronyms

ACS  US Census American Community Survey

ADU accessory dwelling unit

COI community of interest

CDC Sonoma County Community Development Commission

HCD  CA Department of Housing and Community Development

HE Housing Element

GP  General Plan

BOS  Sonoma County Board of Supervisors

LAFCO  Sonoma County Local Agency Formation Commission

AFFH Affirmatively Furthering Fair Housing

SV  Sonoma Valley

USA  urban service area

BG  US Census block group

MFH  multifamily home

SFH  single family home

TCAC  CA state Tax Credit Allocation Committee

DWR CA Dept of Water Resources

SDAC severely disadvantaged community

DAC disadvantaged community

DUC  disadvantaged unincorporated community

MHI  median household income

COLA cost of living adjustment

COL  cost of living

MHV  median home value

SoCo  Sonoma County

MA  median age

MHP  mobile home park

MH  mobile home

BA Bachelor of Arts degree

EJ environmental justice

CEQA CA Environmental Quality Act

RHNA Regional Housing Needs Assessment

VMT vehicle miles traveled

MSR LAFCO Municipal Services Review

SSP SoCo Springs Specific Plan

CDC SoCo Community Development Commissions

COC SoCo Continuum of Care

    

 
















 

Sonoma Valley Demographic Study: Land Use, Zoning, Segregation, DUCs, DACs

 

Fred Allebach

Member Sonoma Valley Housing Group

Member Santa Rosa/ SoCo NAACP

12/6/23

 

Where are Sonoma Valley (SV) concentrations of wealth and poverty? Do municipal boundaries, land use patterns, and zoning keep and maintain racial and class segregation in SV? What communities of interest are at stake? Where are any DACs and DUCs?

 

Acronyms

ACS  US Census American Community Survey

ADU accessory dwelling unit

COI community of interest

CDC Sonoma County Community Development Commission

HCD  CA Department of Housing and Community Development

HE Housing Element

GP  General Plan

BOS  Sonoma County Board of Supervisors

LAFCO  Sonoma County Local Agency Formation Commission

AFFH Affirmatively Furthering Fair Housing

SV  Sonoma Valley

USA  urban service area

BG  US Census block group

MFH  multifamily home

SFH  single family home

TCAC  CA state Tax Credit Allocation Committee

DWR CA Dept of Water Resources

SDAC severely disadvantaged community

DAC disadvantaged community

DUC  disadvantaged unincorporated community

MHI  median household income

COLA cost of living adjustment

COL  cost of living

MHV  median home value

SoCo  Sonoma County

MA  median age

MHP  mobile home park

MH  mobile home

BA Bachelor of Arts degree

EJ environmental justice

CEQA CA Environmental Quality Act

RHNA Regional Housing Needs Assessment

VMT vehicle miles traveled

MSR LAFCO Municipal Services Review

SSP SoCo Springs Specific Plan

CDC SoCo Community Development Commissions

COC SoCo Continuum of Care

 

Data and Excel charts

The Excel charts in thus study were created and organized by Iris Lombard. All data in the charts is by Block Group from the US Census, 2022 5-Year ACS survey update, the currently most recent. ACS data was obtained from from the Census Reporter website.

 

One Excel chart is for the City of Sonoma. Another shows the rest of the unincorporated Valley south of Kenwood. Two others show unincorporated and City Block Groups respectively that meet DUC status at and below 80% state and SoCo MHI.

 

The Excel charts have the raw data from which others can study and check my conclusions and/or draw their own. This type of ACS data needs periodic updating as new ACS figures come out.

 

Data access

Click on this link to access the Census Reporter ACS BG data. Drag map with cursor to locate various BGs; place cursor over BG and click to open data for that BG. Zoom in and out on the map portion for a larger Valley view or street detail view.  Once a BG is open, scroll down below the map to see data for that BG. Cursor needs to be put in data section to scroll down.

 

Methodology (to show how COIs cross BGs in SV)

To calculate percent of a BG < 80% state MHI: Using the above data access link, scroll to BG category MHI, click show data, then click view table. Add up percent lines up to the $60 - $74,999 line. For this study I took $73,524/ 80% state MHI as equivalent to $74,999.   

 

To calculate number of households < 80% state MHI: ask what percent of the households < 80% MHI are of the total number of BG households.

 

To calculate number of people < 80% state MHI: multiply persons per household by number of households < 80% state MHI.

 

Margin of Error

Smaller units of measurement like Census BGs have larger margins of error than Census Tracts, even though the data is the exact same at the Tract level. Despite sometimes large margins of error in ACS BG-level data, I believe valid and compelling patterns are shown. Margins of error can just as well be that DUCs/ DACs are undercounted as well as overcounted.

 

Using Tract-only data collapses and erases valid local demographic differences. While Tracts may technically have less of a margin of error, using Tracts only hides and mask critical differences on the ground, a kind of margin of error of its own. A BG level of analysis is worth undertaking bc it shows more fine-grained population patterns and doesn’t erase real differences.  

 

Both BG and Tract levels need to be taken with a grain of salt, with an eye to seeing the actual and the larger picture.

 

The County uses ACS data as a primary source, personal communication from Dave Kiff, former interim Sonoma City Manager, former CDC Director and current SoCo Homeless Services Division Director. 

 

Block Group reference maps

Two different maps with BGs numbered are provided for the incorporated City of Sonoma and for the SV unincorporated area south of Kenwood. The Excel charts show the respective BG number and name.

 

Political aspects of what data to use

The City and County may be playing a waiting game: as more time goes by, more lower income people and households are displaced, the less pressure to have to address them. This waiting game may be accompanied by an insistence to use Tract-only analysis that erases the true extent of lower SV DUCs and DACs and/or to only recognize studies that don’t challenge the status quo.   

 

2024 updated MHI numbers will only increase the number of cost burdened people, as real estate and rental costs have only gone up here while working class income has not kept pace. Aling with an increase in cost-burdened people is an ill-measured trajectory of displacement. If current trends stay, SV will gradually sort to more white and more wealthy, equity and segregation issues will thereby be externalized. Externalizing serious issues is unsustainable.  

 

Patterns

In lower SV, south of Kenwood, there is not an east-west pattern of wealth disparity like there is in central Sonoma City but more one of a creeping gentrification, of primarily white,  low-density unincorporated TCAC Highest Recourse Opportunity Areas encroaching on the lower-income core urbanized areas, especially on a majority of Block Groups (BGs) in the Springs, and on the City’s west side. Temelec and 7 Flags are a land use island showing a hop scotch pattern of development, as is the 8th Street East industrial area.

 

Sonoma Valley has a classic “other side of the tracks” residential pattern with whites dominating Sonoma’s east side and foothills unincorporated areas, and lower-income Latinos, many of DAC and DUC status, concentrated in the Springs, in Tract 1503.05 and contiguous/ adjacent BGs.

 

Lower income whites and seniors are mixed into the Springs and form a majority on the City’s central west side and mobile home park area BGs where some meet DAC and DUC status as well. Temelec and 7 Flags are part of an SV lower-income senior community of interest that extends into the City’s west side.   

 

In SV, great wealth and great poverty are in close proximity yet separate. This is similar to the Bennet Valley-Roseland pattern along the Hwy 101 Corridor. Sonoma County as a whole shows typical US suburban segregation patterns as noted by Richard Rothstein in his book The Color of Law, A Forgotten History of How Our Government Segregated America. 

 

It’s noteworthy that during the BOS Redistricting process the Bennet Valley wealthy white community of interest was unified into the SoCo 1st District. The 1st District includes SV. The unification of the Bennet Valley community of interest served to tip the 1st District to an even more wealthy white population compared to other SoCo BOS districts. AFFH Data Viewer 2.0 maps support this observation.      

 

This study looks to find and demonstrate the extent of SV cost burdening on lower income populations and communities of interest, and to accurately describe the location of SV DACS and DUCs. Correct DAC, DUC, and cost-burdened household location has bearing on:

-compliance with state AFFH laws

-the current LAFCO 2023 DUC study

-the accuracy of the current LAFCO City of Sonoma MSR

-the SSP

-Land Use and Sustainability Elements in the Sonoma city and Sonoma County GPs

-the Sonoma and County HEs and HE compliance

-City and County GP EJ and Sustainability Elements

-possible future annexations by the City of Sonoma

-fair and equitabke allocation of resources in SV

 

Municipalities, City and County, tend to concentrate only on themselves; this study allows for both discreet City and County views while also providing a whole-valley context.  

 

This study demonstrates the need for more 100% lower-income affordable housing in SV and shows where this housing should and shouldn’t go to address SV race and income segregation and to meet state AFFH law. Lower income housing should go in higher resource areas in the City and unincorporated USA and not be packed into already lower resource areas.

 

A DUC and a DAC are both measured part- or all-ways by household income below 80% state MHI. CA DWR defines a DAC as a community with less than 80% state MHI, period. DUCs are also measured by membership in a discreet community of interest, at least 10 registered voters or a cluster of 10 homes where the MHI is less than 80% state MHI. According to SB-244, a DUC can be “all or a portion of a community with an annual MHI less than 80% of state MHI.” DUC membership is therefore not limited to a Tract or BG. See also SB-244 for DUC criteria. Note, DUCs are only in unincorporated areas.

 

The core Latino lower income community of interest in SV is in the unincorporated Springs centering on Tract 1503.05. Members of this same community live in contiguous BGs of Tracts 1503.04 (El Verano), 1502.05 (Mission Highlands/ City NW side), and 1503.06 (Springs east.) A white, senior, lower income community of interest can be found in contiguous tracts, of Tract 1503.03 (Temelec) and Tract 1502.03 (MHPs/ City west side.) The Temelec DUC low-income senior community of interest is in a BG contiguous to City of Sonoma MHPs.

 

“Contiguous” location is important for any City annexation study and possible Springs/ Temelec annexation because with demonstrated contiguous location, the City can’t ignore these DUC COIs. The City may have incentive to not recognize the validity of this study and to minimize contiguous DUC location bc in the event of an annexation such DUCs would become a City responsibility. One argument against annexation is that it would cost the City too much money.    

 

80% CA state MHI

2022 Census update CA State MHI is $91,905

80% is $73,524

 

80% SoCo MHI

2022 Census update SoCo MHI is $99,266

80% is $79,413

 

A SoCo COLA is called for to accurately represent SV DACs and DUCs

Since SoCo MHI is $5,889 higher than state MHI, the real cost of living here is higher. A COLA of $5,889 is justified to account for the higher SoCo COL.

 

Lower SV and City people below 80% state MHI

9,371 unincorporated people

4,309 City people

Total: 13,680

 

Lower SV households below 80% state MHI

3,757 unincorporated households

2,157 City households

Total: 5,914

 

Finding: Unincorporated lower SV (Tracts and BGs south of Kenwood) has 3,757 households at <80% state MHI. 3,757 households here meet the criteria for DUC status. These 3,757 households amount to 9,371 people. Given a total lower SV population of approximately 35,000, subtract 11,000 from the City of Sonoma and that leaves 24,000 people. Approximately 40% of the lower SV unincorporated population has DUC status. Add Sonoma back in and roughly one third of  lower SV households and population are at DUC and DAC status. Despite margins of error, this shows a LOT of people and households with DUC status in lower SV.  

           

Finding: The City’s central west side (Tract 1502.04 BG2) qualifies as a DWR DAC and the City’s mobile home park area (Tract 1502.03 BG3) qualifies as a DAC with a SoCo COLA.

 

Concentrations of poverty by BGs

The top three BGs in SV with the most cost burdened households are Central Boyes/ Fetter’s, Sonoma central west side, and Temelec.

 

Nine other SV BGs have mid-40%+ of the households living at 80% and below state MHI.

 

The most cost burdened BGs are in the Boyes and Fetter’s Hot Springs, El Verano area, Temelec, West El Verano, and Sonoma central-west side. Lovall Valley (north of Lovall Valley Rd) and Schellville Colony also show high cost burdening.

 

The percent of Lovall Valley residents at 80% or less MHI belies that this BG is TCAC Highest Resource Opportunity Area. The wealthy are able to hide income for tax purposes.   

 

Concentrations of wealth by BG

The top wealthy BGs are: Sonoma Mtn., Eldridge, Glen Ellen, and north Springs foothills. Foothills areas are the highest dollar areas. Six other SV BGs have mid-75%s of households living above 80% state MHI, including the City’s east side.

 

The 2023 TCAC opportunity area map correlates with ACS data showing a growing gentrification encroaching on the SV USA, especially into the core Latino Springs area of El Verano and Boyes/ Fetter’s BG area. This has bearing on figuring displacement and externalized equity issues, in City and County GPs and HEs, the SSP and other SV policy/ planning initiatives.

 

Land use planning

The historical intransigence of Sonoma to accept higher density infill and the existing over-concentration of lower-income housing on the City’s west side and in the Springs means that new lower-income housing in SV is justified along Arnold Drive, in the SV USA, to at once address AFFH law, the high County 6th cycle RHNA allocation, and growing SV concentrations of wealth.

 

In the City itself, concentrations of west side poverty and east/ northwest/ northeast side wealth indicate that current City HE plans to put 88% of City 6th cycle lower-income RHNA on Hwy 12 and West Napa St., in the already lowest income areas of the City are possibly in violation of AFFH law for maintaining patterns of race and class segregation. See successful lawsuit against Clovis, CA and an HCD-approved HE.

 

Upshot.

Single family zoned areas are well entrenched and defended by activated NIMBY cohorts, that have an over-represented influence on City and County officials. The people with the highest voter registration and the most resources dominate land use as demonstrated in SV by restrictive policies like the City’s UGB and SV community separators. These policies artificially constrain developable land and drive up prices in a dynamic I call the Green Checkmate.   

 

City UGB, green separator, and USA boundary are optional land use constraints making for a tight, limited area where new housing can go. Poverty and 100% AH projects are already concentrated in above-noted lower-income areas. Any SV USA developable space (opportunity areas) is hotly contested by status quo property owners and Greens, and tends to go mostly lower-density market rate for housing, leave only inclusionary provisions to gain new AH units, especially in the City where ADUs and duplexes are seen as an equity panacea. This Green Checkmate dynamic and pressure to keep a segregated, low-density, suburban Sleepy Hollow Stasis puts the onus for 100% AH production on upzoning in low density, single family home areas. This upzoning has to be at a scale able to produce serious numbers of 100% AH units, not just “soft density” with unaffordable ADUs and plexes only. 

 

Conclusion

There are salient patterns of wealth and poverty concentrations in SV. Approximately one third of lower-Valley households and population meets DAC/ DUC status with MHI below 80% of state and SoCo MHI. SV has a history of and existing patterns of segregation.

 

Tract-level analysis and Tract-level framing of local demography hides real socio-econ differences and real lower income communities of interest. A cross-BG level of analysis is called for to properly identify DAC and DUC communities of interest and to not erase them with mathematical/ methodological sleight of hand.

 

Powers-that-be have to want to see equity issues and this starts with electeds directing staff to address the salient issues brought up in this study. If electeds believe in UGBs and community separators and city-centered growth, the choice is clear: serious upzoning is called for in higher opportunity, lower density areas in the USA. If not, then allegiance to low density land use character stands as an impediment to SV equity and integration.      

 

A DAC/ DUC COLA is justified for SoCo and if not, a higher percentage of people and households in SV south of Kenwood will remain cost burdened with no chance for any official mitigations.

 

The SoCo LAFCO Plan West DUC study consultant should share their data sources and tools with the public so their findings can be contextualized, checked, and replicated. The findings and conclusions in this study can be compared to the Plan West DUC study.

 

At the lower SV level, south of Kenwood, there is not so much an east-west pattern of segregation but more one of low-density unincorporated TCAC Highest Recourse Opportunity Areas encroaching on lower-income core urbanized areas.

 

The findings in this study can serve as data for existing conditions in the Sonoma and County GPs and GP Land Use and Sustainability Elements, as well as updating HEs with more accurate info. These findings also serve to justify the need for more 100% AH projects in SV, and to locate these projects in areas that do not exacerbate AFFH segregation issues.

 

The historical intransigence of Sonoma to accept higher density infill and the existing over-concentration of lower-income housing in the Springs means that new lower-income housing is AFFH-justified along Arnold Drive, in the SV USA, to at once address the high County 6th cycle RHNA allocation and growing/ encroaching concentrations of wealth.

 

Higher density infill through eliminating single family zoning is also called for on the City’s east and northeast sides. ADUs that are not objectively affordable cannot stand as a panacea for needed AH; ADUs and small plexes are not a realistic cure for needed AH.  

 

Land use tensions exist between social justice and environmental preservation advocates. This is a truth versus truth moral dilemma  which Sustainability full cost accounting needs to rectify. AFFH, social equity, and segregation many times stand aside from environmental morals and preservationist rationales such as VMT, nature preservation, fire evac, and putative water shortages, which are used to justify and maintain SV segregation.

 

How does this tension between social justice and environmental preservation get resolved in SV and SoCo? RHNA and AFFH are on one hand and CEQA/ VMT/ and Green values are on the other. We are now at a place where full cost accounting/ triple bottom line sustainability gets checkmated by its constituent elements. Economic and environmental sustainability pillars have dominated SV policy and planning in SV with social justice as collateral damage. It’s time that equity and social justice takes an equal place on the triple bottom line here. In a place where economy and environment rule, when will equity have its day?

 

Bottom line: low density property owners want to protect their investments. Land use changes that foster more integration is a pragmatic threat to their wealth and socio-economic dominance. It’s easy enough to see the environment and character proxy arguments used to defend an indefensible hoarding of resources and wealth that stand counter to all universal Golden Rule morality. If AFFH and the US proposition that all are created equal are valid points, artificial impediments that perpetuate class and race segregation need to be addressed and removed. This will demand that those with more and unfairly hoarded resources start to share them out in a more substantial way, especially in terms of inclusive land use and zoning policy.

 

To call inequitable and segregatory land use into question in SV, staff, decision makers and the public will need to steel themselves to go against what is already a structurally inequitable system. Either folks stand up and be counted or they remain at various levels of being complicit in maintaining an unjust society. 

 

Map Key

1  Mission Highlands Tract 1502.05 Block Group 2

2  Springs east foothills 1503.06 BG3

3  Springs east 1503.06 BG1

4  Springs northeast 1503.06 BG2

5  Boyes south 1503.05 BG2

6  Boyes central 1503.05 BG 4

7  Fetters 1503.05 BG3

8  ag/ separators 1503.05 BG1

9  El Verano south 1503.04 BG 4

10 El Verano 1503.04 BG3

11 El Verano central 1503.04 BG2

12 El Verano north 1503.04 BG 1

13 El Verano west 1503.03 BG3

14 Temelec 1503.03 BG4

15 Diamond A 1503.03 BG1

16 Sonoma Mtn 1503.03 BG2

17 Eldridge 1505.02 BG1

18 Glen Ellen 1505.01 BG3

19 Vineburg 1501 BG1

20 Shellville Colony 1501 BG3

21 Embarcadero 1501 BG 2 

 



 


 

 

 

 

Sonoma Valley DUC Study

 

Fred Allebach

Member Sonoma Valley Housing Group

Member Santa Rosa/ SoCo NAACP

12/25/23

 

Abstract

By objective measure and reasonable analysis, lower Sonoma Valley south of Kenwood has 3,757 DUC-status households which amounts to 9,371 DUC-status people. This is 40% of the lower valley unincorporated population. These DUCs are comprised of various communities of interest: mobile home park residents, seniors, white working class, and immigrant/ 1st generation Latino working class. These same communities of interest cross over into the adjacent and contiguous City of Sonoma where DUCs become DACs.  

 

A detailed, cross-Block Group view of local DUCs is the most accurate for seeing where populations and COIs are on the ground.

 

This study has multiple policy implications for the coming Springs Specific Plan, land use and zoning issues on Arnold Drive and elsewhere, the LAFCO Plan West SoCo DUC study, for possible future City annexations, for AFFH law to address City and Valley segregation, for ground-truthing City/ County Housing Elements, and for General Plans.

 

Findings

Ø  Unincorporated lower SV (Tracts and BGs south of Kenwood) has 3,757 households at <80% state MHI. 3,757 households here meet the criteria for DUC status. These 3,757 households amount to 9,371 people. Given a total lower SV population of approximately 35,000, subtract 11,000 from the City of Sonoma and that leaves 24,000 people. Approximately 40% of the lower SV unincorporated population has DUC status. Despite margins of error, this shows a LOT of people and households with DUC status in lower SV.

  

Ø  The unincorporated County in SV has discreet communities of interest with DUC status, these are: MHP residents, seniors, white working class, immigrant/ 1st generation Latinos. These same communities of interest cross over into the adjacent and contiguous City of Sonoma where DUCs become DACs.

 

Ø  The Latino community of interest is centered in the central Springs area and crosses into contiguous El Verano, Springs East, Mission Highlands and City BGs.

 

Ø  Tract 1503.05 (Boyes/ Fetter’s) shows up over and over again as an area with much lower opportunity. The core DUC area in Tract 1503.05 is located in BGs 3 and 4, Central Boyes ad Fetter’s. Contiguous to this core DUC area are BGs 1 and 2 of 1503.04, the El Verano Tract. Tract 1503.05 BG2, Mission Highlands is also contiguous to the core DUC area. The latter BGs all have the highest percent MHI < 80% state MHI. Smaller percentages of the same COI blend into the City of Sonoma west side.

 

Ø  The recent LAFCO MSR for the City Sonoma found a DUC area within the northwest portion of the City’s SOI. Besides Maxwell Park this SOI area is a small neighborhood centering on Melrose Ct of @ 35 lots south of Verano Ave and east of Hwy 12. This area is a small piece of Census Tract 1502.05 BG2, where a portion meets DUC status: from 2021 Census Reporter website:  31% are under $50K median household income and 39.3% are under $60K. 4% (66 people) of this DUC show membership the low-income Latino community of interest, part of a larger whole community of interest that is contiguous to the City of Sonoma.

 

Ø  Temelec, Tract 1503.03 BG4 has 52.1 households < than 80% state MHI; this is clearly DUC status. Senior and MHP communities of interest blend into and are contiguous to the City MHPs and central west side BGs. 41.3% of households in Sonoma MHPs have DAC status; 55.4% of households on the City central west side have DAC status.

 

Ø   A white working-class community of interest is harder to demonstrate. Of the percent of lower MHI SV residents who meet DUC status, those who are not Latino, senior, or MHP residents can be assumed to be white working class.

 

Ø   The wealthiest, whitest SV BGs are Sonoma Mtn, Eldridge, Glen Ellen, Eldridge, Springs northeast, and Boyes south. This correlates well with AFFH Data Viewer 2.0 and TCAC maps.

 

Conclusion: These findings are evidence that the County has DUCs in SV and that these DUCs are unified with DACs in the adjacent and contiguous City of Sonoma. This has implications for: the coming Springs Specific Plan, land use and zoning issues on Arnold Drive and elsewhere, the LAFCO Plan West SoCo DUC study, for possible future City annexations, for AFFH law to address City and Valley segregation, for ground-truthing City/ County Housing Elements, and for General Plans.

 

The following sections flesh out the background information data, and methodology of this piece.

 

Unincorporated Sonoma Valley DUCs from US Census 2022 5-Year ACS survey update

DUC = disadvantaged unincorporated community at 80% and below of state median household income. This study shows percent of unincorporated lower Sonoma Valley (SV) Census Block Groups (BGs), households, and persons with DUC status. See accompanying reference map with BG location and numbering, and Excel chart. Many thanks to Iris Lombard for setting up the Excel charts and for her feedback.

 

The state has different metrics for DUCs and DACs depending on what agency is doing the measuring. If LAFCO or the County wanted to prove it has populations with DAC status, it could given the example of this study. If it does not, why not? On what assumptions will we see the facts one way or another? What would be the upside and downside of an analysis that shows more, or less DUCs in the unincorporated SV? Why would people not want to see DUCs?

 

A DUC, by DWR and LAFCO standards, is measured by community of interest with household income below 80% state median household income (MHI). A DAC is the same but in incorporated areas. LAFCO also adds other criteria for minimum DUC qualification including: 10 registered voters or a cluster of 10 homes where the MHI is less than 80% state MHI, and that by SB-244 a DUC can be “all or a portion of a community with an annual MHI less than 80% of state MHI.”

 

80% CA state MHI

CA State MHI is $91,905 with latest 2022 Census update

80% is $73,524

 

80% SoCo MHI

SoCo MHI is $99,266 with latest 2022 Census update

80% is $79,413

 

A SoCo COLA is called for to accurately represent SV DUCs and DACs

Since SoCo MHI is $5,889 higher than state MHI, the real cost of living here is $5,889 higher. A COLA of $5,889 is justified to account for the higher SoCo COL

 

Data access

Click on this link to access the Census ACS data from the Census Reporter website. Drag map with cursor to locate various BGs; place cursor over BG and click to open data for that BG. Zoom in and out for a larger Valley view or street detail view.  Once a BG is open, scroll down below the map to see data for that BG. Cursor needs to be put in data section to scroll down.

 

Methodology

MHI stats are the latest available from recently released updated ACS US Census sources, from the Census Reporter website.

 

To calculate percent of a BG < 80% state MHI: Using the above data access link, scroll to BG MHI, click show data, then click view table. Add up percent lines up to the $60 - $74,999 line. I took $73,524/ 80% state MHI as equivalent to $74,999.   

 

To calculate number of households < 80% state MHI: ask what percent of the households < 80% MHI are of the total number of BG households.

 

To calculate number of people < 80% state MHI: multiply persons per household by number of households < 80% state MHI.

 

Margin of Error

Smaller units of measurement like Census BGs have larger margins of error than Census Tracts, even though the data is the exact same at the Tract level. Despite sometime large margins of error in ACS BG-level data, I believe valid and compelling patterns are shown. Margins of error can just as well be that DACs are undercounted as well as overcounted.

 

Using Tract-only data collapses and erases valid local demographic differences. While Tracts may technically have less of a margin of error, they actually hide and mask critical differences on the ground. Thus, a BG level of analysis is worth undertaking bc it shows more fine-grained population patterns.

 

Both BG and Tract levels need to be taken with a grain of salt, with an eye to seeing the actual and the larger picture.

 

The County uses ACS data as a primary source, personal communication from Dave Kiff, former interim Sonoma City Manager, former CDC Director and current SoCo Homeless Services Division Director. 

 

Acronyms

ACS  US Census American Community Survey

SV  Sonoma Valley

LAFCO Local Agency Formation Commission

BG  US Census block group

DWR CA Dept of Water Resources

DAC disadvantaged community

DUC disadvantaged unincorporated community

MHI  median household income

COLA cost of living adjustment

COL  cost of living

SoCo  Sonoma County

MHP  mobile home park

USA urban service area

AFFH Affirmatively Furthering Fair Housing

 

 

Map Key 

1  Mission Highlands Tract 1502.05 Block Group 2

2  Springs east foothills 1503.06 BG3

3  Springs east 1503.06 BG1

4  Springs northeast 1503.06 BG2

5  Boyes south 1503.05 BG2

6  Boyes central 1503.05 BG 4

7  Fetters 1503.05 BG3

8  ag/ separators 1503.05 BG1

9  El Verano south 1503.04 BG 4

10 El Verano 1503.04 BG3

11 El Verano central 1503.04 BG2

12 El Verano north 1503.04 BG 1

13 El Verano west 1503.03 BG3

14 Temelec 1503.03 BG4

15 Diamond A 1503.03 BG1

16 Sonoma Mtn 1503.03 BG2

17 Eldridge 1505.02 BG1

18 Glen Ellen 1505.01 BG3

19 Vineburg 1501 BG1

20 Shellville Colony 1501 BG3

21 Embarcadero 1501 BG 2 

 



 


 

 

 

City of Sonoma DAC Study

Fred Allebach

Member Sonoma Valley Housing Group

Member Santa Rosa/ SoCo NAACP

12/25/23

 

City of Sonoma DAC status from US Census 2022 5-Year ACS survey update

This study shows percent of City Census Block Groups (BGs), households and persons with DAC status. See accompanying reference map with City BG location and numbering, and Excel chart. Many thanks to Iris Lombard for setting up the Excel charts and for her feedback.

 

Abstract

The City of Sonoma has disadvantaged community or DAC populations. This is demonstrated by objective, current evidence from the US Census ACS survey, by a simple, reasonable methodology. These DAC communities of interest are seniors, mobile home park residents, immigrant Latino working class, and white working class. Membership in these DAC COIs crosses BGs in the City and into the unincorporated County towards Temelec, the southeast side, and the Springs.  

 

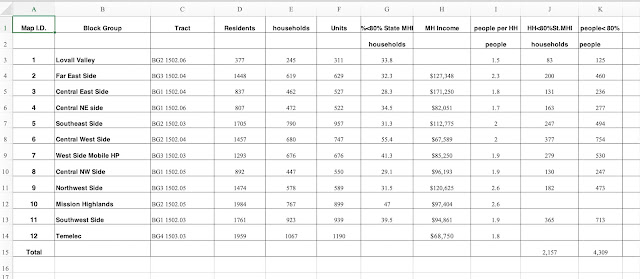
Of Block Groups entirely within the City: 969 households and 1,995 people meet DAC status MHI.

 

The whole City central west side, (Block Group 2 of Tract 1503.04) qualifies as is a DAC with 55.4% of households below 80% of state median household income.

 

In City west side mobile home parks (Block Group 3 of Tract 1502.03), 41.3% of households qualify for DAC status MHI. The City’s central east side and northwest side have smaller percentages of DAC COIs.   

 

Of Block Groups partially within the City, 1,188 households and 2,316 people meet DAC MHI status. To dice out the exact number of in-city DACs a DistrictR-type tool with Block-level analysis will be needed.  

 

How and why to map and show DACs and DUCs?

The state has different metrics for DACs and DUCs depending on what agency is doing the measuring. One common criteria is to be 80% and below state MHI. If the City wanted to prove it has populations with DAC status and that these are contiguous with DAC COIs in local unincorporated areas, this study gives an example of how to do that. If it does not, why not? On what assumptions will we see and map the facts one way or another? What would be the upside and downside of an analysis that shows DACs in the City? Why would people not want to see DACs in the City if DACs can objectively be demonstrated to be there?

 

6th cycle City Housing Element demographics and DACs

As a result of this study, pertinent questions arise as to the level of detail the HE analyzed and mapped City populations. Final HE recommendations on zoning and RHNA site inventory appear to be based on a Tract-only view which erases local DACs and COIs.

 

Selected Findings

Ø  Tract 1502.03 BG3 (Sonoma MHPs), Tract 1502.04 BGs 1 and 2 (Sonoma central west and Sonoma central east) are entirely within the City.  Tract 1502.05 BG3 (northwest side), 1502.05 BG1 (central northwest side) are also entirely within the City. Other City BGs have portions that are outside the City.

 

Ø  The whole City central west side BG is a DAC, and 41.3% of west side MHP households are a DAC.

 

Ø   In Sonoma west side MHPs 41.3% of 676 total households and 530 people have DAC status. On the central west side 55.4% of 680 households and 754 people have DAC status. This is the City’s high DAC concentration area.

 

Ø  In Sonoma, of BGs entirely within the City, 969 households and 1,993 people meet DAC status.  The numbers will be higher because City residents also live in BGs that are only partially in the City.

 

Ø  The City has communities of interest with DAC status, these are: MHP residents, seniors, white working class, immigrant Latinos. These same communities of interest cross over into the adjacent and contiguous unincorporated County where DACs become DUCs.

 

Communities of interest

Temelec and 7 Flags MHP represent senior and MHP lower-income communities of interest. Immigrant and first-generation Latino DACs in the City, on the northwest and central northwest sides, are unified with the same cohort in El Verano (Tract 1503.04), Boyes/ Fetters (Tract 1503.05), Mission Highlands and Springs east A white working class community of interest blends from the City central west side and Moon Valley all-age MHP to El Verano and Boyes/ Fetters.

 

Protected class  

Sonoma Valley Latinos, Latino immigrants and people of Latino national origin are a protected class. This status may protect against discrimination in housing and planning as well as for voting and employment rights.

 

Conclusion: These findings, evidence that the City has DACs and that these DACs are unified with DUCs in the adjacent and contiguous SV USA*, have implications for the coming LAFCO Plan West SoCo DUC study, for possible future City annexations, for AFFH law to address City and Valley segregation, the City/ County Housing Elements, and General Plans.

 

A DAC, by DWR standards, is measured by community of interest with household income below 80% state MHI. A LAFCO DUC is the same but only in unincorporated areas.  

 

80% CA state MHI

CA State MHI is $91,905 with latest 2022 Census update

80% is $73,524

 

80% SoCo MHI

SoCo MHI is $99,266 with latest 2022 Census update

80% is $79,413

 

A SoCo COLA is called for to accurately represent SV DACs and DUCs

Since SoCo MHI is $5,889 higher than state MHI, the real cost of living here is $5,889 higher. A COLA of $5,889 is justified to account for the higher SoCo COL.

 

Data access

Click on this link to access the data. Drag map with cursor to locate various BGs; place cursor over BG and click to open data for that BG. Zoom in and out for a larger Valley map view or street detail view.  Once a BG is open, scroll down below the map to see data for that BG. Cursor needs to be put in data section to scroll down.

 

Methodology

MHI stats are the latest available from recently released updated ACS US Census sources, from the Census Reporter website.

 

To calculate percent of a BG < 80% state MHI: Using the above data access link, scroll to BG MHI, click show data, then click view table. Add up percent lines up to the $60 - $74,999 line. I took $73,524/ 80% state MHI as equivalent to $74,999.   

 

To calculate number of households < 80% state MHI: ask what percent of the households < 80% MHI are of the total number of BG households.

 

To calculate number of people < 80% state MHI: multiply persons per household by number of households < 80% state MHI.

 

Margin of Error

Smaller units of measurement like Census BGs have larger margins of error than Census Tracts, even though the data is the exact same at the Tract level. Despite sometime large margins of error in ACS BG-level data, I believe valid and compelling patterns are shown. Margins of error can just as well be that DACs are undercounted as well as overcounted.

 

Census data starts with Blocks, then Block Groups, then Tracts, and Places. Districting studies are done by demographic consultants that get very fine-grained to for example, make Trustee districts in the local school district. Upon these fine-grained studies, Supervisorial, Congressional, and other special districts are made. The upshot here is that when local Housing Element and General Plan policy are made, these need to be based on the most accurate studies that show the actual demographics to the maximum extent possible, and that do not discriminate against protected classes nor erase valid COIs.    

 

The County uses ACS data as a primary source, personal communication from Dave Kiff, former interim Sonoma City Manager, former CDC Director and current SoCo Homeless Services Division Director.

 


*See accompanying Sonoma Valley DUC study

 

 

City Block Group map key

 

1 Lovall Valley

 

2 Far east side

 

3 Central east side

 

4 Central NE side

 

5 Southeast side

 

6 Central west side

 

7 West side MHPs

 

8 Central NW side

 

9 Northwest side

 

10 Mission Highlands

 

11 Southwest side

 

12 Temelec, 13 Boyes/ Fetter’s, 15 El Verano provided for reference location only 

 

Acronyms

ACS  US Census American Community Survey

SV  Sonoma Valley

LAFCO Local Agency Formation Commission

BG  US Census block group

DWR CA Dept of Water Resources

DAC disadvantaged community

DUC disadvantaged unincorporated community

MHI  median household income

COLA cost of living adjustment

COL  cost of living

SoCo  Sonoma County

MHP  mobile home park

USA urban service area

AFFH Affirmatively Furthering Fair Housing